REGISTER ONLINE NOW!!!

Tri-City Baseball Universal City, TX

Content

DATES TO KNOW


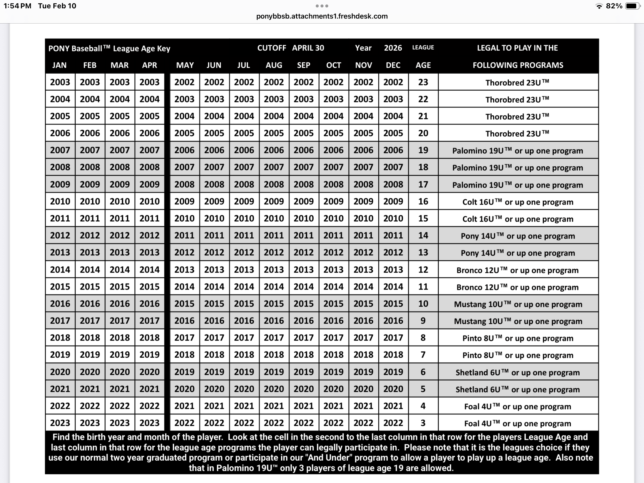
Information For the 2026 SPRING Season

ONLINE  REGISTRATION FOR THE 2026
SPRING BASEBALL SEASON 
IS NOW OPEN!!!

WE WILL HAVE IN PERSON REGISTRATIONS AT THE CONCESSION STAND
SAT JAN 3rd, 17th & 31st  9am-12 noon
SAT JAN 10TH,24th & Feb 7th  9AM-12 noon & 2-4PM


SAT 2/21 UNIVERSAL CITY SNOWFEST 

SAT 2/28 PLAYER ASSESSMENTS 
Pony 14u-9am,Bronco 12u-11:30am, Mustang 10u-1:00pm, Pinto 8u-3:00pm

TEAM PRACTICES START 1st WEEK IN MARCH
SAT MARCH 28TH OPENING CEREMONIES






Tri-City Concession Stand

Thanks to Universal City and Public Works we now have a completely redesigned beautiful snack bar and ultra modern restroom facilities!

Our Sponsors

Copyright © 2026 Tri-City Baseball  |  Privacy Statement |  Terms Of Use |  License Agreement |  Children's Privacy Policy |    Login